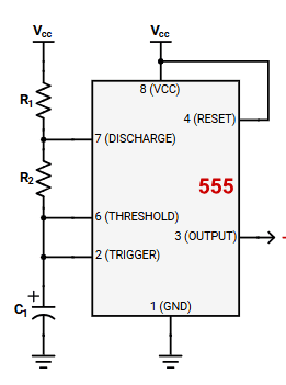
555 Timer Calculator.
Use CircuitSkill's 555 Timer Calculator to determine the output frequency or pulse duration of your 555 timer circuit, based on your chosen resistor and capacitor values. This tool accurately computes the characteristics of the square wave output for both Monostable (One-Shot) and Astable (Free-Running) configurations. In Monostable mode, also known as One-Shot mode, the 555 timer generates a single output pulse in response to a trigger signal. The duration of this pulse depends directly on the selected resistance and capacitance values. In Astable mode, also known as Free-Running mode, the 555 timer produces a continuous square wave output. Both the frequency and the high/low time periods of the waveform are calculated from the resistor and capacitor values, allowing you to design oscillators, clock signals, or PWM generators with precision.
The NE555 timer can operate up to ~500 kHz, but practically, stable and predictable frequencies are usually in the 100–200 kHz range.
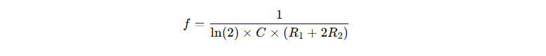
Astable Mode (free-running oscillator)
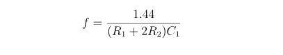
Direct formulas:

(since ln ( 2 ) ≈ 0.693 ln(2)≈0.693)
Or

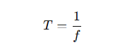
Period:

Duty Cycle:

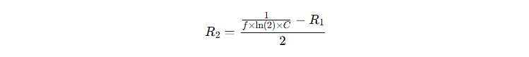
Inverse formulas (for missing values):



Monostable Mode (one-shot)
Direct formula:

Inverse formulas:


Boost your electronics skills with our calculators, eBooks, schematics, and AI tutor available now!

NE555 Timer Calculator
(Leave one field empty to compute its value automatically)
Results


WANT TO MASTER ELECTRONICS?
Access to 100+ schematics,AI tutor,Ebooks,and more advancedCalculations.
learn more...
Get full access(22$)
Limited time offer.